Σύμφωνα με την πρόσφατη βιβλιογραφία αλλά και με την απλή καθημερινή παρατήρηση, μπορούμε να διαπιστώσουμε ότι ο καθιστικός τρόπος ζωής έχει λάβει επιδημικές διαστάσεις, ακόμη και για τους νεαρούς ενήλικες. Από ότι έχει φανεί μέχρι στιγμής, η ενημέρωση για τη σημασία της σωματικής άσκησης από μόνη της δεν επαρκεί για να κινητοποιήσει τον κόσμο να δραστηριοποιηθεί και να συμμετέχει σε αθλήματα. Με αυτό το σκεπτικό, επιστήμονες από τη Φιλαδέλφεια των ΗΠΑ, σχεδίασαν ένα πρόγραμμα μαθημάτων άσκησης το οποίο συνοδευόταν από κάποιου είδους χρήση των κοινωνικών δικτύων.
Οι καθιστικές συνήθειες που αναπτύσσονται σε νεαρή ηλικία είναι πολύ πιθανό να συνεχιστούν και στη μετέπειτα ζωή
Πώς σχεδιάστηκε το πρόγραμμα παρέμβασης;
Συγκεκριμένα, στο πρόγραμμα παρέμβασης που είχε διάρκεια 13 εβδομάδων, συμμετείχαν 217 φοιτητές. Οι συμμετέχοντες τυχαιοποιήθηκαν σε 3 ομάδες, ανάλογα με τις δυνατότητες που τους προσφέρονταν στην ηλεκτρονική πλατφόρμα του προγράμματος:
- Την ομάδα ελέγχου που χρησιμοποιούσε την ηλεκτρονική πλατφόρμα μόνο για την εγγραφή στα μαθήματα άσκησης.
- Την ομάδα που χρησιμοποιούσε την ηλεκτρονική πλατφόρμα με την επιπλέον δυνατότητα να βλέπει εβδομαδιαία προωθητικά βίντεο / μηνύματα σχετικά με την άσκηση.
- Την ομάδα που χρησιμοποιούσε την ηλεκτρονική πλατφόρμα χωρίς να βλέπει τα βίντεο αλλά έχοντας ένα δίκτυο 4-6 ατόμων, για τα οποία ήταν ορατές οι πληροφορίες σχετικά με τη συχνότητα παρακολούθησης των μαθημάτων άσκησης.

Εικόνα 1. Παράδειγμα της εμφανιζόμενης ιστοσελίδας, ανάλογα με την ομάδα παρέμβασης ή ελέγχου.
Τι έδειξαν τα αποτελέσματα;
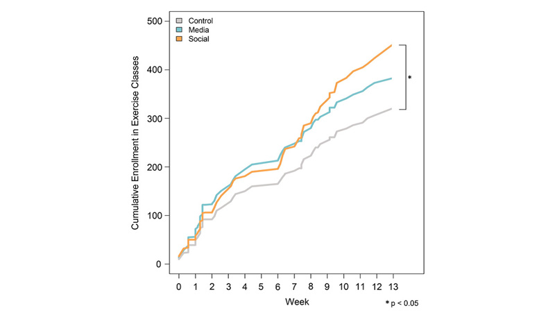
Από τα αποτελέσματα φάνηκε ότι τα προωθητικά βίντεο ενίσχυσαν τη συμμετοχή των φοιτητών στα μαθήματα σε σχέση με την ομάδα ελέγχου, ωστόσο, η ομάδα η οποία αξιοποίησε τα κοινωνικά δίκτυα είχε τη μεγαλύτερη συμμετοχή. Στο τέλος του προγράμματος, η ομάδα αυτή, είχε επίσης αυξημένα επίπεδα σωματικής δραστηριότητας σε σχέση με την έναρξη του προγράμματος.

Διάγραμμα 1. Αθροιστικός αριθμός μαθημάτων άσκησης ανά ομάδα παρέμβασης ή ελέγχου.
Από τα παραπάνω, φαίνεται ότι η κοινωνική επιρροή που ασκείται μέσω των κοινωνικών δικτύων έχει ισχυρότερο αντίκτυπο στην αύξηση της σωματικής δραστηριότητας και της συμμετοχής σε μαθήματα άσκησης σε σχέση με τη χρήση προωθητικών βίντεο, ακόμη και αν οι συμμετέχοντες είναι ανώνυμοι. Η παρακολούθηση της σωματικής δραστηριότητας τρίτων, δημιουργεί την αίσθηση ότι η κοινωνία έχει αποδεχτεί και προωθεί αυτή τη συμπεριφορά, με αποτέλεσμα να ενισχύεται το «κίνητρο» των ατόμων.
Συμπερασματικά
Έτσι, ένας πιθανός αποτελεσματικός τρόπος παρέμβασης θα ήταν η χρήση προωθητικών βίντεο και μηνυμάτων στην αρχή ενός προγράμματος για υγιεινότερο τρόπο ζωής και, εν συνεχεία, η αύξηση της προσκόλλησης στο πρόγραμμα μέσω της ανάπτυξης κοινωνικών δικτύων τα οποία θα υποστηρίζουν τις καλές/ προτεινόμενες συμπεριφορές.